k-최근접 이웃의 한계
k-최근접 이웃의 한계를 파악하기 위해 데이터와 모델을 준비한다.
import numpy as np
perch_length = np.array([8.4, 13.7, 15.0, 16.2, 17.4, 18.0, 18.7, 19.0, 19.6, 20.0, 21.0,
21.0, 21.0, 21.3, 22.0, 22.0, 22.0, 22.0, 22.0, 22.5, 22.5, 22.7,
23.0, 23.5, 24.0, 24.0, 24.6, 25.0, 25.6, 26.5, 27.3, 27.5, 27.5,
27.5, 28.0, 28.7, 30.0, 32.8, 34.5, 35.0, 36.5, 36.0, 37.0, 37.0,
39.0, 39.0, 39.0, 40.0, 40.0, 40.0, 40.0, 42.0, 43.0, 43.0, 43.5,
44.0])
perch_weight = np.array([5.9, 32.0, 40.0, 51.5, 70.0, 100.0, 78.0, 80.0, 85.0, 85.0, 110.0,
115.0, 125.0, 130.0, 120.0, 120.0, 130.0, 135.0, 110.0, 130.0,
150.0, 145.0, 150.0, 170.0, 225.0, 145.0, 188.0, 180.0, 197.0,
218.0, 300.0, 260.0, 265.0, 250.0, 250.0, 300.0, 320.0, 514.0,
556.0, 840.0, 685.0, 700.0, 700.0, 690.0, 900.0, 650.0, 820.0,
850.0, 900.0, 1015.0, 820.0, 1100.0, 1000.0, 1100.0, 1000.0,
1000.0])
훈련 세트와 테스트 세트로 나누고 특성 데이터를 2차원 배열로 변환한다.
from sklearn.model_selection import train_test_split
train_input, test_input, train_target, test_target = train_test_split(perch_length, perch_weight, random_state = 42)
train_input = train_input.reshape(-1, 1)
test_input = test_input.reshape(-1, 1)
최근접 이웃 개수를 3으로 하는 모델을 훈련한다.
from sklearn.neighbors import KNeighborsRegressor
knr = KNeighborsRegressor(n_neighbors= 3)
knr.fit(train_input, train_target)
print(knr.predict([[50]]))

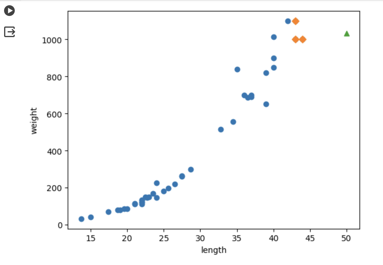
훈련 세트와 50cm 농어 그리고 이 농어의 최근접 이웃을 산점도에 표시한다.
이를 통해 길이가 커질수록 농어의 무게가 증가하는 경향이 있다는 것을 알 수 있다.
import matplotlib.pyplot as plt
distances, indexes = knr.kneighbors([[50]])
plt.scatter(train_input, train_target)
plt.scatter(train_input[indexes], train_target[indexes], marker = 'D')
plt.scatter(50, 1033, marker = '^')
plt.xlabel('length'); plt.ylabel('weight'); plt.show()

이웃 샘플의 타깃의 평균이 모델이 예측한 값과 정확히 일치하는 것을 알 수 있다. 이 때 길이가 100cm인 농어의 예측값도 동일한 것을 알 수 있다.
print(np.mean(train_target[indexes]))
print(knr.predict([[100]]))

길이가 100cm인 농어의 이웃을 구하는 그래프를 구현하면 아래와 같다.
distances, indexes = knr.kneighbors([[100]])
plt.scatter(train_input, train_target)
plt.scatter(train_input[indexes], train_target[indexes], marker = 'D')
plt.scatter(100, 1033, marker = '^')
plt.xlabel('length'); plt.ylabel('weight'); plt.show()

위 결과를 통해 농어의 길이가 커져도 무게가 더 늘지 않는다는 것을 알 수 있다.
k-최근접 이웃을 사용해 이 문제를 해결하려면 가장 큰 농어가 포함되도록 훈련 세트를 다시 만들어야 하기 때문에 이 문제를 해결하기 위해 다른 방법을 고려해야할 필요성이 존재한다.
선형 회귀
선형 회귀(linear regression)는 널리 사용되는 대표적인 회귀 알고리즘이다.
사이킷런의 sklearn.linear_model 패키지 LinearRegression 클래스를 사용해 선형 회귀 알고리즘 활용이 가능하다.
사이킷런의 모델 클래스들은 훈련, 평가, 예측하는 메서드 이름이 모두 동일하다. [fit(), score(), predict()]
from sklearn.linear_model import LinearRegression
lr = LinearRegression()
lr.fit(train_input, train_target)
print(lr.predict([[50]]))

LinearRegression 클래스는 아래 그래프의 a(기울기), b(절편)을 lr 객체의 coef_, intercept_속성에 저장한다.

print(lr.coef_, lr.intercept_)

직선을 그리기 위해서는 (15, 15 * 39 - 709)와 (50, 50 * 39 - 709) 두 점을 이으면 된다.
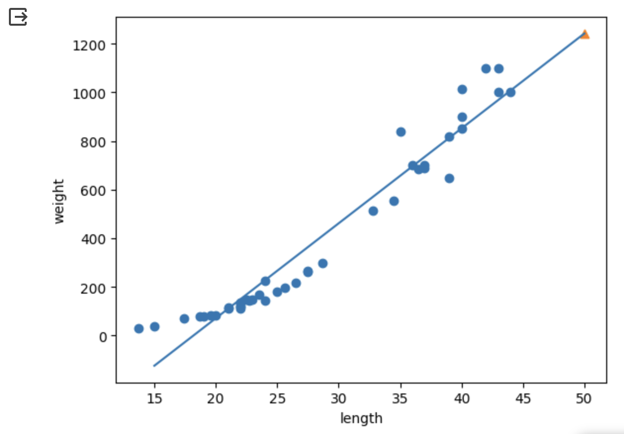
아래 직선이 선형 회귀 알고리즘이 이 데이터셋에서 찾은 최적의 직선이다.
plt.scatter(train_input, train_target)
plt.plot([15, 50], [15 * lr.coef_ + lr.intercept_, 50 * lr.coef_ + lr.intercept_])
plt.scatter(50, 1241.8, marker = '^')
plt.xlabel('length'); plt.ylabel('weight'); plt.show()

훈련 세트와 테스트 세트의 결정계수를 출력해본 결과, 이 모델이 훈련 세트에 과소적합되었다고 볼 수 있다.
이 문제뿐만 아니라 길이가 20이하일 경우 결정계수 값이 확연히 낮아짐을 알 수 있다.
print(lr.score(train_input, train_target))
print(lr.score(test_input, test_target))

다항 회귀
농어의 길이와 무게에 대한 산점도는 일직선이 아니라 왼쪽 위로 조금 구부러진 곡선 형태이다.
그렇기 때문에 최적의 직선을 찾기보다 최적의 곡선을 찾는 것이 더 효과적일 수 있다.
column_stack()함수를 사용하여 제곱한 값을 기존 데이터 앞에 삽입한다.
train_poly = np.column_stack((train_input ** 2, train_input))
test_poly = np.column_stack((test_input ** 2, test_input))
훈련 세트와 테스트 세트 모두 열이 2개로 늘어난 것을 확인할 수 있다.
print(train_poly.shape, test_poly.shape)

위에서 제곱한 값을 추가한 데이터인 train_poly를 사용해 선형 회귀 모델을 다시 훈련한다.
기존 선형회귀 모델보다 더 높은 값을 예측한 것을 알 수 있다. (기존 선형회귀 모델 예측값 : 1241.83860323)
lr = LinearRegression()
lr.fit(train_poly, train_target)
print(lr.predict([[50**2, 50]]))

모델이 학습한 그래프를 확인하기 위해 그래프의 a, b를 출력한다.
print(lr.coef_, lr.intercept_)

이를 통해 모델이 학습한 그래프가 아래와 같음을 알 수 있다.

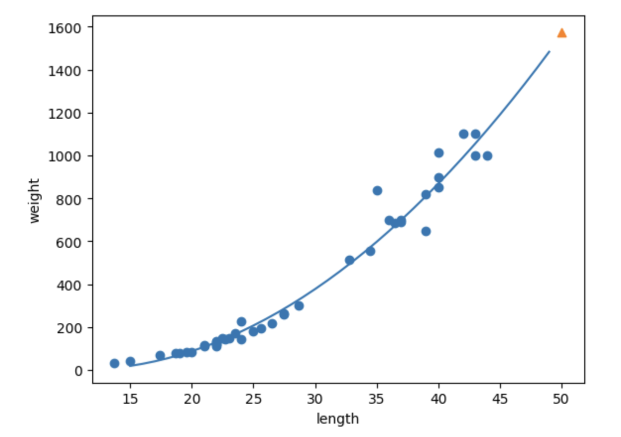
다항 회귀 모델의 예측값을 산점도로 출력하면 아래와 같다.
point = np.arange(15, 50)
plt.scatter(train_input, train_target)
plt.plot(point, 1.01 * point **2 - 21.6 * point + 116.05)
plt.scatter(50, 1574, marker = '^')
plt.xlabel('length'); plt.ylabel('weight'); plt.show()

앞선 단순 선형 회귀 모델보다 훨씬 나은 그래프가 출력됨을 확인할 수 있다.
결정계수 또한 기존 단순 선형 회귀 모델에 비해 향상된 수치임을 알 수 있다.
print(lr.score(train_poly, train_target))
print(lr.score(test_poly, test_target))

하지만 여전히 과소적합이 존재한다는 문제점을 갖기 때문에 더 복잡한 모델을 활용해야 하는 필요성이 있다.
'AI > 혼자공부하는머신러닝딥러닝' 카테고리의 다른 글
| [ML] 04-1 로지스틱 회귀 (1) | 2024.01.21 |
|---|---|
| [ML] 03-3 특성 공학과 규제 (0) | 2024.01.20 |
| [ML] 03-1 k-최근접 이웃 회귀 (0) | 2024.01.20 |
| [ML] 02-2 데이터 전처리 (0) | 2024.01.20 |
| [ML] 02-1 훈련 세트와 테스트 세트 (0) | 2024.01.18 |