k-최근접 이웃 회귀
지도 학습 알고리즘은 분류와 회귀로 나뉜다.
k-최근접 이웃 회귀는 k-최근접 이웃 분류와 동일하게 예측하려는 샘플에 가장 가까운 샘플 k개를 선택한다.
이 때 둘의 차이점은 회귀 알고리즘은 이웃한 샘플의 타깃이 어떠한 클래스가 아니라 임의의 수치라는 점이다.
데이터 준비
import numpy as np
perch_length = np.array([8.4, 13.7, 15.0, 16.2, 17.4, 18.0, 18.7, 19.0, 19.6, 20.0, 21.0,
21.0, 21.0, 21.3, 22.0, 22.0, 22.0, 22.0, 22.0, 22.5, 22.5, 22.7,
23.0, 23.5, 24.0, 24.0, 24.6, 25.0, 25.6, 26.5, 27.3, 27.5, 27.5,
27.5, 28.0, 28.7, 30.0, 32.8, 34.5, 35.0, 36.5, 36.0, 37.0, 37.0,
39.0, 39.0, 39.0, 40.0, 40.0, 40.0, 40.0, 42.0, 43.0, 43.0, 43.5,
44.0])
perch_weight = np.array([5.9, 32.0, 40.0, 51.5, 70.0, 100.0, 78.0, 80.0, 85.0, 85.0, 110.0,
115.0, 125.0, 130.0, 120.0, 120.0, 130.0, 135.0, 110.0, 130.0,
150.0, 145.0, 150.0, 170.0, 225.0, 145.0, 188.0, 180.0, 197.0,
218.0, 300.0, 260.0, 265.0, 250.0, 250.0, 300.0, 320.0, 514.0,
556.0, 840.0, 685.0, 700.0, 700.0, 690.0, 900.0, 650.0, 820.0,
850.0, 900.0, 1015.0, 820.0, 1100.0, 1000.0, 1100.0, 1000.0,
1000.0])
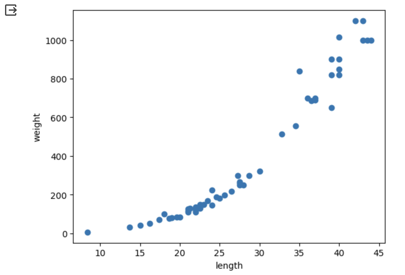
위 데이터가 어떤 형태를 띠고 있는지 확인하기 위해 matplotlib을 활용하여 산점도를 그린다.
import matplotlib.pyplot as plt
plt.scatter(perch_length, perch_weight)
plt.xlabel('length'); plt.ylabel('weight'); plt.show()

위 산점도 그래프와 같이 일직선에 가까운 형태로 나타나지는 경우 선형적이라고 표현한다.
해당 데이터를 머신러닝 모델에 사용하기 전에 훈련 세트와 테스트 세트로 분리한다.
이 때 random_state 값을 설정하여 수행시마다 동일한 결과를 얻을 수 있다.
from sklearn.model_selection import train_test_split
train_input, test_input, train_target, test_target = train_test_split(perch_length, perch_weight, random_state = 42)
사이킷런에 사용할 훈련 세트는 2차원 배열의 형태이어야하지만 shape()을 출력해보면 현재 1차원 배열임을 알 수 있다.
이를 변경하기 위해 아래와 같이 코드를 수행한다.
reshape()함수는 바꾸려는 배열의 크기를 지정할 수 있다.
reshape(-1, 1)로 지정할 경우 첫 번째 크기를 나머지 원소 개수로 채우고, 두 번째 크기를 1로 변경할 수 있다.
train_input = train_input.reshape(-1, 1)
test_input = test_input.reshape(-1, 1)
print(train_input.shape, test_input.shape)

결정계수
KNeighborsRegressor : 사이킷런에서 k-최근접 이웃 회귀 알고리즘을 구현하는 클래스
객체를 생성 후 fit()메서드를 통해 회귀 모델을 훈련한다.
from sklearn.neighbors import KNeighborsRegressor
knr = KNeighborsRegressor()
knr.fit(train_input, train_target)
print(knr.score(test_input, test_target))

분류의 경우 위 점수(0.992,,,)는 테스트에 있는 샘플을 정확하게 분류한 개수의 비율이며 정확도로 부른다.
회귀에서는 정확한 숫자를 맞힌다는 것은 거의 불가능하기 때문에 이 점수를 결정계수라고 한다.
결정계수의 계산 방식은 아래와 같다.

타깃과 예측한 값 사이의 차이를 구함으로서 어느 정도 예측이 벗어났는지 파악이 가능하다.
사이킷런의 sklearn.metrics 패키지 아래 여러 가지 측정 도구 중 mean_absolute_error는 타깃와 예측의 절댓값 오차를 평균하여 반환한다.
아래 결과와 같이 결과에서 예측이 평균적으로 19g정도 타깃값과 다른다는 것을 확인할 수 있다.
from sklearn.metrics import mean_absolute_error
test_prediction = knr.predict(test_input)
mae = mean_absolute_error(test_target, test_prediction)
print(mae)

과대적합 vs 과소적합
앞에서 훈련한 모델을 사용해 훈련 세트의 결정계수를 출력하면 아래와 같다.
print(knr.score(train_input, train_target))

과대 적합(overfitting) : 훈련 세트에서 점수가 굉장히 좋았지만 테스트 세트에서 점수가 굉장히 나쁜 경우
과소 적합(underfitting) : 훈련 세트보다 테스트 세트의 점수가 높거나 두 점수가 모두 낮은 경우
우리가 훈련시킨 모델은 훈련 세트보다 테스트 세트의 점수가 높기 때문에 과소 적합이라고 판단이 가능하다.
이를 해결하기 위해서는 모델을 복잡하게 만들어야 한다. 즉, 훈련 세트에 더 잘 맞게 만들어 테스트 세트의 점수를 조금 낮추면 된다.
사이킷런의 k-최근접 이웃 알고리즘의 기본 k값은 5이다. 이를 3으로 낮추어 훈련 세트에 더 잘 맞게 모델을 훈련한다.
knr.n_neighbors = 3
knr.fit(train_input, train_target)
print(knr.score(train_input, train_target))

결과값을 통해 훈련 세트가 학습 세트보다 더 높은 결정계수를 가지도록 회귀 모델을 학습하였음을 알 수 있다.
아래 코드를 통해 k-최근접 이웃 회귀모델의 k값이 커짐에 따라 모델의 변화를 파악할 수 있다.
knr = KNeighborsRegressor()
x = np.arange(5, 45).reshape(-1, 1)
for n in [1, 5, 10]:
knr.n_neighbors = n
knr.fit(train_input, train_target)
prediction = knr.predict(x)
plt.scatter(train_input, train_target, marker = '^')
plt.plot(x, prediction)
plt.show()



'AI > 혼자공부하는머신러닝딥러닝' 카테고리의 다른 글
| [ML] 03-3 특성 공학과 규제 (0) | 2024.01.20 |
|---|---|
| [ML] 03-2 선형 회귀 (0) | 2024.01.20 |
| [ML] 02-2 데이터 전처리 (0) | 2024.01.20 |
| [ML] 02-1 훈련 세트와 테스트 세트 (0) | 2024.01.18 |
| [ML] 01-3 마켓과 머신러닝 (0) | 2024.01.18 |